FLASH SALE :: 20% Discount only for TODAY!!!

Shop Now
Teacher Tools/SSCHL
Minnesota Resources for Assessment of Students Who are Deaf and Hard of Hearing
$ 0
Type Of Resource:
Checklist/Test
Ability Level:
Emerging | Beginning | Intermediate | Advanced
Grade Range:
PS | K-2 | 3-5 | 6-8 | 9-12
Reading:
R1
Total:
Will be calculated after you select all properties
Buy Now Add to Wishlist

Other Supporting Success Products:

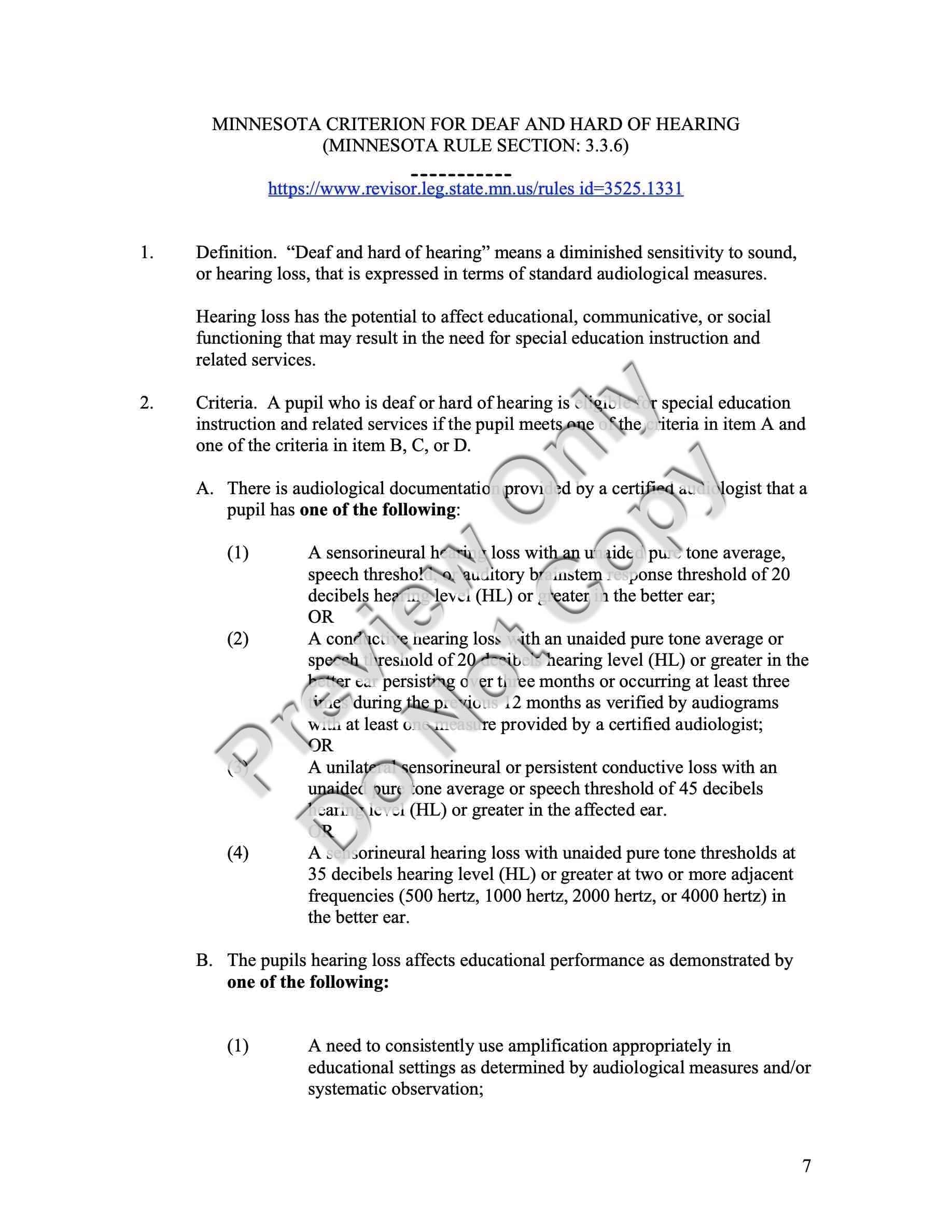
Extensive assessment resource developed by DHH professionals in Minnesota. Overview of assessment, formal vs. informal, intellectual, social emotional, language, reading, early childhood, transition, appendices. Revised in 2008.

Other Details:

SKU: S0XASM0113
Date first listed on Teacher Tools Takeout: Jul 21, 2020

These materials are for individuals who have paid Teacher Tools subscriptions. There are more than 400 items in the Library, which appear in organized folders within the Teacher Tools Takeout accounts. 

No reviews

You Viewed Recently

busy...